6. Wirtschaftlichkeit von Solaranlagen
"Sonnenenergie, so wird argumentiert, kostet zu viel. Sie kann in unseren Breiten üblicherweise nur schwer mit fossiler oder nuklearer Energie konkurrieren."[1] Betrachtet man die hohen Energiegestehungskosten, ist dieser Satz gerechtfertigt, schaut man aber genauer hin, wie unsere Energie entsteht, kommen daran Zweifel auf.
Bei der Wirtschaftlichkeit von Solaranlagen muß zwischen einer betriebswirtschaftlichen und einer volkswirtschaftlichen Betrachtungsweise unterschieden werden. Am Ende einer betriebswirtschaftlichen Betrachtung steht immer der Preis für eine Energieeinheit, ohne das externe Kosten berücksichtigt werden. Diese fließen erst in die volkswirtschaftliche Betrachtungsweise ein. Quaschning zählt verschiedene externe Kosten auf:[2]
Tabelle 6.1 zeigt die Ausgaben des Bundes auf dem kerntechnischen Sektor:[3]
| 1995 Ist | 1996 Ist | 1997 Soll | 1998 Reg.-Entw. | |
| Nukleare Energieforschung ( ohne Beseitigung kerntechnischer Anlagen) |
408,3 |
413,3 |
431,2 |
466,9 |
| Beseitigung kerntechnischer Anlagen; Risikobeteiligung |
238,5 |
254,6 |
250,3 |
303,8 |
| Kernfusionsforschung |
205,6 |
192,7 |
222,9 |
233,4 |
|
|
|
|
|
|
Die Ausgaben für den gesamten Bereich "Erneuerbare Energien und rationelle Energieanwendung" belief sich 1998 auf etwa 290 Mio. DM
Ein weiterer Punkt, dem selten Beachtung geschenkt wird, ist der Verlust der Energie vom Erzeuger zum Verbraucher durch den Widerstand der Stromleitungen. So müssen mehr als zwei Kilowatt produziert werden, damit der Verbraucher eines nutzen kann.
Alle dieser externen Kosten werden gerne als reine Polemik zurückgewiesen, aber Strom entsteht eben nicht erst in der Steckdose.
Mit der Aufzählung der externen Kosten soll nicht gesagt werden, daß es bei einer verstärkten Nutzung der regenerativen Energien alle diese Probleme, aus denen externen Kosten entstehen, nicht mehr existierten; die Energieerzeugung liefert nur einen Teil der heutigen Umweltprobleme. Es wäre utopisch, anzunehmen, daß in unmittelbarer Zukunft die Solarenergie den größten Teil des Energieverbrauchs decken könnte. Für die private Versorgung wird die Solarenergie in Zukunft eine Alternative darstellen; eine Versorgung des industriellen Sektors ist noch nicht denkbar.
Werfen wir nun einen Blick auf die betriebswirtschaftlichen Aspekte einer Solaranlage:
Die betriebsbezogene Wirtschaftlichkeit "drückt sich aus im Verhältnis von Leistung zu Kosten oder Ertrag zu Aufwand."[4] Für eine Solaranlage heißt dies, daß die durch die solare Deckungsrate erzielten Gewinne die höheren Investitionen und die zusätzlichen Wartungskosten zumindest kompensieren müssen.[5] Diese Wirtschaftlichkeit hängt von vielen Faktoren ab: In erster Linie an den Investitionskosten, den Energiepreisen der Konkurrenzenergieträger, der technischen Leistungsfähigkeit, der Dimensionierung der Anlage (vgl.: Kap. 4) und nicht zuletzt an den Fördermaßnahmen. Es empfiehlt sich, solarthermische und photovoltaische Anlagen getrennt zu behandeln.
6.1 Solarthermische Anlagen
Gehen wir davon aus, daß der Betreiber eine betriebswirtschaftlich rentable Anlage führen möchte. Er möchte also unter Berücksichtigung der Investitionskosten, der Betriebskosten und der Kapitalverzinsung am Ende der Lebenszeit der Solaranlage zumindest keine Verluste erleiden. Um die Rechnung nicht zu kompliziert werden zu lassen, nehme ich einige Vereinfachungen an: einen konstanten Zinssatz von 6%, gleichmäßige Betriebskosten, keine Inflation; um die Rechnung gleich auf ein konkretes Beispiel anzuwenden, seinen die Investitionskosten mit 10.000 DM, die jährlichen Wartungskosten ,mit 100 DM und die Lebensdauer der Solaranlage mit 20 Jahre angenommen. Als Grundlage für die Berechnungen dienen die Formeln aus Qua99.
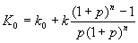
Der Betreiber hat also K0=10.000 DM investiert. Hätte er diese mit einem Zinssatz von p angelegt, hätte er nach n Jahren ein Kapital von:
In unserem Beispiel wären dies bei einem Zinssatz von p=6% nach 20 Jahren 32071 DM. Es kommen allerdings nun noch die Betriebskosten ki hinzu, die im i-ten Jahr anfallen und ebenfalls verzinst werden wollen. Rechnet man diese also mit ein ergibt sich also:
Mit der Vereinfachung, daß die Betriebskosten in den verschiedenen Jahren konstant sind, erhält man als Ergebnis der sich daraus bildenden geometrischen Reihe:
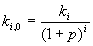
Jetzt stellt sich die Frage, wie groß das Anfangskapital hätte sein müssen, damit nach den n Jahren sich genau dieses eben errechnete Kapital kn mit Berücksichtigung der Betriebskosten k ergeben würde. Die 100 DM Betriebskosten des 19. Jahres bringen selbstverständlich weniger Zinsen als die 100 DM Betriebskosten des ersten Jahres ein, welches ja die kompletten 20 Jahre verzinst wird. Dazu müssen zuerst die Betriebskosten der einzelnen Jahre zurückgerechnet werden; dies geschieht durch Abzinsung. Die Zahlung ki kann auf das Jahr Null zurückgerechnet werden:
Für mehrere Zahlungen ergibt sich also die Summe über die Einzelzahlungen. Rechnet man gleich die Investitionskosten mit ein, hätte das Anfangskapital also sein müssen:
Wieder unter der Annahme, daß die Betriebskosten in den Jahren immer gleich groß sind ergibt sich wiederum über die geometrische Reihe:
Im Beispiel ergibt sich so ein zurückgerechnetes Anfangskapital von 11.147 DM. Verzinst wären dies nach 20 Jahren 35.750 DM.
Geht man von einer beschränkten Lebensdauer der Solaranlage von 20 Jahren aus, so müssen eben diese 35.750 DM durch den Erlös der Solaranlage wieder gedeckt werden. Diese Erlöse müssen selbstverständlich auch wieder verzinst werden. Nun läßt sich berechnen, welchen Preis eine von der Anlage produzierte Energieeinheit haben muß, damit in der Summe der 20 Jahre der Erlös den 35.750 DM entspricht.
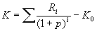
Es müssen jetzt also die Rückzahlungen aus den Erlösen dem abgezinsten Anfangskapital gegenübergestellt werden, woraus sich der Kapitalwert ergibt, der gleich oder größer als Null sein muß, sofern der Investor keinen Verlust machen will:
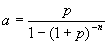
Wird wieder angenommen, daß die Rückzahlungen alle gleich groß sind, ergibt sich wieder eine geometrische Reihe. Setzt man den Kapitalwert bei 0 an (keine Verluste) ergibt sich:
Hierbei ist a die Annuität. Über sie läßt sich nun berechnen, wie hoch die Energiegestehungskosten kE bei vorgegebener bereitgestellten jährlichen Energiemenge ist:
Für das oben gewählte Beispiel ergibt sich bei einer jährlich erzeugten Leistung von 2.300 kWh Wärmegestehungskosten von 40 Pf je kWh; schon bei einer Förderung von 3000 DM würden die Wärmegestehungskosten auf 28 Pf je kWh sinken. Dem gegenüber stehen bei herkömmlichen Anlagen unter Verwendung von Öl oder Gas die Wärmegestehungskosten zur Raumheizung bei 10-11 Pf je kWh, bei der Brauchwassererwärmung liegen sie höher. In diese Rechnung flossen keine Fördermaßnahmen ein.
In einer Studie des Bremer Energie Instituts von 1997 im Auftrag der Rud.-Otto-Meyer-Stiftung unter dem Titel "Energieeinsparung im Wohnungsbau aktuelle Kosten-Nutzen-Verhältnisse bei Investitionen in zusätzlichen Wärmeschutz und in thermische Solaranlagen" wurden mehrere Häuser mit Solaranlagen zur Brauchwassererwärmung in Hannover untersucht, unter anderem mit dem Ziel, für diese Kategorien thermischer Solaranlagen eine aktuelle Übersicht über die Investitionskosten und deren Spannweite sowie die spezifische Wärmekosten zu geben.[6]
Untersucht wurden:
Tabelle 6.1.1 zeigt die Kenndaten der thermischen Solaranlagen der Beispielhäuser:[7]

Für Kleinanlagen und mittelgroße Anlagen sind die Ergebnisse in obiger Tabelle aufgeführt. Bei den kleinen Anlagen liegen die maximalen Wärmegestehungskosten für ungünstige Ausgangsbedingungen (hohe Investitionskosten, geringe Einstrahlung, Orientierung nach Westen) zwischen 0,98 und 1,28 DM. Bei günstigen Ausgangsbedingungen können dagegen Wärmegestehungskosten von 31 bis 35 Pfennig erreicht werden.
Bei den mittelgroßen Anlagen zeigt sich, daß bei einem solaren Deckungsgrad von 50% sehr hohe Wärmegestehungskosten entstehen. Die Varianten mit einem solaren Deckungsgrad von nur 35% schneiden dabei deutlich besser ab. Diese Anlagen dienen im wesentlichen der Vorwärmung des Brauchwassers.
Große Solaranlagen ohne saisonale Speicher weisen mit durchschnittlich 24 Pfennig die niedrigsten Wärmegestehungskosten auf; bei günstigen Ausgangsbedingungen können diese sogar auf 13 Pfennig gedrückt werden.
Als Fazit zeigt sich, daß die Verbesserung des Wärmeschutzstandards um 25 bis 30% unter die Mindestanforderungen der geltenden Wärmeschutzverordnung günstiger als die Installation einer Solaranlage ist.
Es muß immer beachtet werden, daß Berechnungen der Wirtschaftlichkeit nicht immer die Realität widerspiegeln, sie geben aber Aufschluß darüber, was man beim Betrieb einer Anlage erwarten kann, bzw. muß. Je nach Rechenverfahren können die Ergebnisse für die Wärmegestehungskosten stark voneinander abweichen. Ein Problem ist dabei auch, daß man nie genau weiß, was die Zukunft bringt; wie also die Preisentwicklung von thermischen Solaranlagen verläuft, wie die Preisentwicklung der Konkurrenzenergieträger verläuft, oder welche Fördermaßnahmen es geben wird. Aber eines ist sicher: Die Kosten für solarthermische werden noch deutlich gesenkt werden können. Mit Sicherheit werden im Laufe des 21. Jahrhunderts auch aus betriebswirtschaftlicher Sicht die Anlagen zur Nutzung regenerativer Energien günstiger sein, als konventionelle Anlagen zur Nutzung fossiler Energien; nicht nur aufgrund der fallenden Kosten der Anlagen, sondern vor allem durch die zu erwartende Kostensteigerung der konventionellen Energieträger bei der Verknappung der Ressourcen (vgl. Quaschning 1998:238).
Betrachtet man die Solaranlagen von der ökologischen Seite, so ist die Bilanz gegenüber fossilen Energieträgern eindeutig auf der Seite der regenerativen Energie. Schlüsselworte in diesem Zusammenhang sind die energetische Amortisationszeit und die Erntezeit.
Bei der Erstellung und dem Recycling einer Solaranlage fällt ein bestimmter Energieaufwand an, meßbar beispielsweise an den ausgestoßenen CO2-Mengen. Beim Betrieb der Anlage fallen keine CO2-Emissionen mehr an; hier kann die Solaranlage gegenüber den konventionellen Anlagen aufholen. Sobald die Solaranlage soviel Energie gespart hat, wie bei der Erstellung und beim Recycling der Anlage anfällt, geht die Amortisationszeit zu Ende. Die restliche Lebenszeit der Anlage wird als Erntezeit bezeichnet. Diese energetische Amortisationszeit ist relativ gering gegenüber der Lebensdauer einer Anlage. Mit diesem Thema beschäftigte sich Wagner detailliert in seiner Untersuchung über die "Ermittlung des Primärenegieaufwandes und Abschätzung der Emissionen zur Herstellung und zum Betrieb von ausgewählten Absorberanlagen zur Schwimmbadwassererwärmung und von Solarkollektoranlagen zur Brauchwassererwärmung."[8] Wagner kommt nach dieser Untersuchung auf energetische Amortisationszeiten von 0,4 bis 1 Jahr und für Kollektoranlagen von 0,6 bis 3,5 Jahren.
Die Erntezeit ist also dementsprechend hoch. Leicht ermitteln läßt sich bei Betrieb der Anlage die durch die nicht verbrannten fossilen Energieträger eingesparte CO2-Emission. Nach Wagner sind dies bei einer 6 m² großen Flachkollektoranlage etwa 0,6 1,1 t pro Jahr.[9]
6.2 PV-Anlagen
Die Berechnung zur Wirtschaftlichkeit können parallel zu denen bei solarthermischen Anlagen durchgeführt werden. Die Investitionskosten bei PV-Anlagen sind ungleich höher, als bei thermischen Solaranlagen, was sich direkt in den Energiegestehungskosten widerspiegelt. Das Kosten-Nutzen-Verhältnis muß hierzulande mit massiven Fördermaßnahmen unterstützt werden, wie dies zur Zeit mit dem 100.000-Dächer-Programm oder der kostendeckenden Vergütung geschieht. Ebenso wie bei thermischen Solaranlagen gibt es auch hier wieder große Unterschiede in der Berechnung der Wirtschaftlichkeit und in den Erwartungen, wie die zukünftige Entwicklung aussehen könnte. Verfolgt man dieselbe Rechnung wie oben ohne Fördermaßnahmen und Einspeisevergütung, so erhält Quaschning bei einer Investitionssumme von 15.000 DM, einer Wartung nach 10 Jahren in der Höhe von 3000 DM, einem Kapitalzins von 6%, einer Lebensdauer von 30 Jahren und einem jährlichen Energiegewinn von 800 kWh Energiegestehungskosten von 1,514 DM je kWh. Bei einer Bereitstellung von 2.000 kWh elektrischer Energie in der Sahara reduzieren sich diese auf 0,61 DM je kWh.[10] Eine Studie von Bayernwerk, RWE, Siemens und Siemens-Solar hält in Deutschland Preissenkungen bei Solarstrom aus PV-Kraftwerken auf 47 Pf/kWh, bei kleineren netzgebundenen PV-Dachanlagen auf 92 im Jahre 2000 und auf 74 Pf je kWh im Jahr 2010 für möglich.[11] In den USA sehen Kosten-Nutzen-Analysen die PV heute schon wirtschaftlich.[12] Auch in Deutschland kann mit Hilfe der KV eine Solaranlage wirtschaftlich betrieben werden. Die großen Vorteile des Stroms aus PV-Anlagen liegen im ökologischen Bereich.
Bei einer volkswirtschaftlichen Betrachtungsweise, wie sie oben schon angesprochen wurde, schneiden fossile Energieträger und ganz besonders die Kernenergie sehr schlecht ab. Die Folgekosten, die durch die CO2-Emissionen bei der Verbrennung von fossilen Energieträgern entstehen, sind unberechenbar; die Szenarien in bezug auf das Weltklima unterscheiden sich zwar voneinander, kommen aber alle zu keinem positiven Ergebnis. Weitere Schadstoffe schädigen Gebäude (Quaschning beziffert den jährlichen Schaden an Gebäuden auf über 4 Mrd. DM) und die Gesundheit; auch dieser Faktor ist unberechenbar. Die Subventionierung der Steinkohle kostet jährlich Milliarden DM; Auch die fehlende privatwirtschaftliche Versicherungspflicht für Großrisiken in der Energiewirtschaft (Klima- und Atomrisiken) kommt einer Subvention gleich, ohne die der Atomstrom nach einer Abschätzung des Umweltökonomen Hans Jürgen Ewers über 1 DM/kWh kosten würde.[13]
Eine der ersten umfangreichen Untersuchungen über externe Kosten führte Hohmeyer durch.[14] Er veranschlagte die externen Kosten der Kernenergie mit bis zu 70 Pf je kWhel und die Kosten der derzeitigen Stromerzeugung aus einer Kombination von fossilen Energieträgern und Kernenergie mit 5 bis 26 Pf je kWhel.
Fazit
Sowohl thermische als auch PV-Anlagen können wirtschaftlich arbeiten, in der Regel sind dazu jedoch Fördermaßnahmen, günstige Ausgangsbedingungen (hohe Einstrahlung, Südorientierung, niedrige Investitionskosten) und eine richtige Dimensionierung nötig. Der volkswirtschaftliche Gewinn steht außer Frage. Solaranlagen dürfen nicht nur nach ihrer heutigen Leistung beurteilt werden, vielmehr muß betrachtet werden, wieviel ihre Leistung in der Zukunft wert ist. Dieser Wert ist gerade in Anbetracht des gefährdeten Klimahaushaltes hoch anzusetzen. Betrachtet man dazu, daß die nötigen Investitionskosten für eine Solaranlage in Zukunft sinken und sowohl von der Seite der schrumpfenden Ressourcen als auch von der Seite der Politik, die auf den gefährdeten Klimahaushalt reagieren muß, die konventionellen Energien teurer werden, komme ich zu dem Schluß, daß in Zukunft an der Solarenergie kein Weg vorbeiführen wird.
1 DFS (hrsg.), 1997, Solarmarkt Deutschland
2 Quaschning V., 1998: 29ff.
3 BMWi (Hrsg.), 1998: 180
4 Greil W.-D., 1978: 189
5 Fox U., 1998: 95
6 Jahn K., 1998 In: Sonnenenergie 2/98: 26
7 Jahn K., 1998 In: Sonnenenergie 2/98: 26
8 Wagner H, J., 1995: 42
9 Wagner H. J., 1995: 40
10 Quaschning V., 1998: 236
11 Edinger R., 1999, In: Sonnenenergie 1/99: 18
12 Edinger R., 1999, In: Sonnenenergie 1/99: 18ff.
13 Weizsäcker, E. U. von, Lovins A. B., Lovins L. H., 1996: 209
14 Quaschning V., 1998: 242